728x90
반응형
강한 연결 요소 (Strongly Connected Component)는 SCC라고 불리는 알고리즘 입니다.
유향 그래프에서 특정 노드에서 다른 노드들을 걸쳐 다시 특정노드로 돌아올 수 있으면, 노드들이 강하게 연결되어 있다 라고 합니다.
DFS를 배우셨다면, 조금 쉽게 이해하실 수 있을거 같습니다.
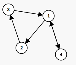
ex)
https://www.acmicpc.net/problem/26146
26146번: 즉흥 여행 (Easy)
1번 정점에서 출발하면 모든 정점을 방문할 수 있는 경로가 존재하지만, 2번 정점에서 출발하면 모든 정점을 방문할 수 있는 경로가 존재하지 않으므로, 답은 No가 된다.
www.acmicpc.net

1에서 2를 걸쳐 3으로 갔다가 다시 1로 돌아올 수 있음, 1에서 4로 갔다가 다시 돌아올 수 있음
그러므로 모든 노드는 연결되어 있다고 볼 수 있습니다.
<자바>
import java.io.BufferedReader;
import java.io.IOException;
import java.io.InputStreamReader;
import java.util.ArrayList;
import java.util.Arrays;
import java.util.Stack;
import java.util.StringTokenizer;
public class Main {
static boolean[] visited;
static Stack<Integer> stack = new Stack<>();
public static void main(String[] args) throws IOException {
BufferedReader br = new BufferedReader(new InputStreamReader(System.in));
StringTokenizer st = new StringTokenizer(br.readLine());
int v = Integer.parseInt(st.nextToken()), e = Integer.parseInt(st.nextToken());
visited = new boolean[v + 1];
ArrayList<Integer>[] graph = new ArrayList[v + 1], reversegraph = new ArrayList[v + 1];
for(int i = 1; i <= v; i++) {
graph[i] = new ArrayList<>();
reversegraph[i] = new ArrayList<>();
}
while(e --> 0) {
st = new StringTokenizer(br.readLine());
int from = Integer.parseInt(st.nextToken()), to = Integer.parseInt(st.nextToken());
graph[from].add(to); //가는 방향대로 저장
reversegraph[to].add(from); //가는 방향의 반대로 저장
}
for(int i = 1; i <= v; i++) {
if(!visited[i]) {
dfs(i, graph, true);
} //방문 하지 않았다면 dfs로 방문
}
Arrays.fill(visited, false); //역으로 재방문 할것이므로, 모든 visited는 false로 처리
dfs(stack.pop(), reversegraph, false); //스택에 저장된 첫 노드를 꺼내 역으로 재방문
//해당 문제는 모두 연결되어 있는지 확인하는 것이므로 1번만 꺼내지만, 다른 문제들은 다를 수 있음
String answer = "Yes";
while(!stack.isEmpty()) {
if(!visited[stack.pop()]) {
answer = "No";
break;
}
}// 스택이 비어있을때까지 꺼내는데, 방문하지 않았다면 모두 연결되어 있지 않으므로 No
System.out.print(answer);
}
public static void dfs(int depth, ArrayList<Integer>[] graph, boolean check) {
visited[depth] = true;
for(int a : graph[depth]) {
if(!visited[a]) {
dfs(a, graph, check);
}
}// 기본 dfs
if(check) {
stack.add(depth);
}// 정방향 그래프일 경우에만 stack에 저장
}
}
SCC에 대한 자세한 사항은 해당 블로그를 확인해주세요.
https://yjg-lab.tistory.com/188
[알고리즘] 강한 연결 요소 추출 알고리즘 (Strongly Connected Component)
강한 연결 요소 (Strongly Connected Component) 방향성이 존재하는 유향 그래프에서 모든 정점이 다른 모든 정점들에 대하여 방문할 수 있는 경우 즉, 어떤 두 정점 간의 경로가 존재하면 그 집단이 강하
yjg-lab.tistory.com
728x90
반응형
'CS > 알고리즘' 카테고리의 다른 글
| 배열 뒤집기 시간 측정 (0) | 2023.03.14 |
|---|---|
| 배열 vs ArrayList vs Set 무엇이 더 빠를까? (0) | 2023.03.01 |
| 백트래킹(Backtracking) (0) | 2023.01.25 |
| SPFA(Shortest Path First Algorithm) (2) | 2023.01.24 |
| Dijkstra - 데이크스트라(다익스트라) (1) | 2023.01.22 |
댓글